Hier sehen Sie ein Bild zum Thema Familienindex International 2017.

Familienindex International 2017

Erfahren Sie, in welchen Städten weltweit Familien, gemessen anhand verschiedener Faktoren, am besten leben.

November 2017 | Deutschland | Berlin

Die besten Städte zum Leben für Familien weltweit

Direkt zu den Ergebnissen

Wir von Homeday haben das Ziel, das Kaufen und Verkaufen von Immobilien so einfach und bequem wie möglich zu machen. Bei Tausenden erfolgreichen Immobilienverkäufen konnten wir durch Gespräche mit den Käufern herausfinden, dass junge Familien, die sich langfristig niederlassen möchten, den Häusermarkt maßgeblich beeinflussen. Wir haben daher diese Studie durchgeführt, die potentiellen Käufern und Verkäufern von Immobilien auf der ganzen Welt dabei helfen soll, fundierte Entscheidungen zu treffen, die von Daten gestützt werden.

So sind wir vorgegangen: Zu Beginn der Studie haben wir Hunderte Eltern gefragt, welche Faktoren in ihren Augen für das Familienleben in einer Stadt von Bedeutung sind. Wir konnten feststellen, dass die Bezahlbarkeit von Immobilien und Umweltverschmutzung zwar als wichtig eingeschätzt werden, gute Schulen und Mietpreise jedoch von noch größerer Bedeutung für Eltern sind. Anhand der Antworten haben wir anschließend die Kategorien der Studie erstellt: Städtische Infrastruktur, Elternzeitgesetze, Gesundheitswesen, Zufriedenheit, Aktivitäten für Kinder und Wahrnehmung von Experten. Auf Basis dieser Kategorien wurden im nächsten Schritt Tausende Städte weltweit analysiert, um die finale Liste der 100 besten Städte für Familien zu erstellen. Die Recherche umfasst Mikrofaktoren wie Qualität des Bildungssystems, Arbeitslosenrate und Sicherheit sowie Grünflächen, Verkehr und Bezahlbarkeit. Um die Studie zu vervollständigen, haben wir 30.000 Erziehungsexperten und Journalisten aus dem Bereich Familie gefragt, wie sie die Familienfreundlichkeit ihrer Stadt einschätzen. Abschließend wurden die Gesamtpunktzahlen der einzelnen Städte aus den Ergebnissen aller Kategorien berechnet.

Internationale Ergebnisse

Hier sehen Sie die Legende der Icons.
Hier sehen Sie eine Legende weiterer Icons.

Hier klicken für die ganze Tabelle in neuem Tab

Methodik

Um die Städte des Rankings zu bestimmen, haben wir zunächst hunderte Eltern gefragt, welche Faktoren in ihren Augen für eine familienfreundliche Stadt von Bedeutung sind. Mithilfe der Antworten haben wir die fünf Kategorien der Studie erstellt: Stadt, Elternzeitgesetze und Gesundheitswesen, Zufriedenheit, Reisen und Aktivitäten und Meinung von Eltern und Experten. Im nächsten Schritt wurden für die Kategorien relevante Daten von tausenden Städten weltweit analysiert, um ein finales Ranking der 100 besten Städte für Familien zu erstellen. Es gibt zahlreiche familienfreundliche Städte, die nicht in diesem Index aufgeführt sind, jedoch war es uns aufgrund der Tatsache, dass immer mehr Menschen dank Digitalisierung nahezu überall leben und arbeiten können wichtig, Möglichkeiten für junge Familien sowohl nahe der Heimat, als auch im Rest der Welt aufzuzeigen.

Für die endgültige Rangliste der 100 Städte wurde jede Stadt anhand von 15 Kriterien untersucht (inklusive einer Eltern- und einer Expertenumfrage) und je nach Abschneiden der einzelnen Faktoren bewertet. Eine vollständige Beschreibung dieser Kriterien finden Sie weiter unten im Text.

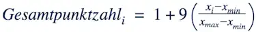
Die Rohdaten wurden zunächst in absteigender Reihenfolge sortiert. Basierend auf dieser Rangliste wurde im nächsten Schritt eine standardisierte Punktzahl nach folgender Formel vergeben:

Hier sehen Sie die Formel für die Ermittlung der Rangliste.

Gesamtpunktzahl (i) = 39% Stadt (i) +13% Elternzeitgesetze und Gesundheitswesen (i) + 5% Zufriedenheit (i) + 19.5% Reise und Aktivitäten (i) + 23.5% Meinung von Eltern und Experten (i)

Punktzahlen reichen von eins bis zehn – je höher die Punktzahl, desto geeigneter ist die Stadt für Familien im Bezug auf das jeweilige Kriterium. Zehn bedeutet also, dass die Stadt im Hinblick auf das entsprechende Kriterium sehr familienfreundlich ist. Es gilt zu beachten, dass die Städte im Ranking unter Tausenden anderen ausgewählt wurden. Jede Stadt auf der Liste kann daher als familienfreundlich betrachtet werden.

Stadt

Wohnraum

  • Dieses Kriterium beschreibt die Bezahlbarkeit von Wohnraum im Bezug auf Durchschnittsgehälter und Immobilienpreise. Je höher die Punktzahl, desto bezahlbarer ist der Wohnraum in der jeweiligen Stadt.

  • Durchschnittliches jährliches Nettogehalt. Quelle: Umfragen zu Durchschnittsgehältern.

  • Durchschnittlicher Kaufpreis für ein Haus in der jeweiligen Stadt (pro m²). Quellen: Global Property Guide, Weltbank und OECD.

Bildungssystem

  • Diese Punktzahl bewertet die Qualität von Bildung der einzelnen Städte. Je höher die Punktzahl, desto besser die Bildung.

  • Durchschnittliche PISA-Punktzahlen in Mathe, Lesen und Naturwissenschaften. Quellen: PISA-Programm zur internationalen Bewertung von Schülern, OECD.

  • TIMMS 2015-Punktzahlen (Klasse 8). Quelle: TIMMS-Trends in internationaler Mathematik und Naturwissenschaften. Angepasst auf PISA.

  • Bildungsausgaben. Quelle: Daten der UN. Angepasst auf PISA.


Sicherheit

  • Dieses Kriterium macht deutlich, wie sicher die jeweilige Stadt ist und basiert auf bewiesenen Straftaten sowie dem Sicherheitsgefühl der Bevölkerung. Je höher die Punktzahl, desto sicherer ist die Stadt.

  • Gewichteter Mittelwert aus der Anzahl Straftaten (Diebstahl und Mord) und dem Sicherheitsgefühl der Bevölkerung. Quellen: Offizielle Daten der UN von den Polizeirevieren der Städte, wenn verfügbar und Umfrage zur Wahrnehmung der Sicherheit.


Bezahlbarkeit auf Basis der Kaufkraftparität (KKP)

  • Dieses Kriterium beschreibt, was sich die Bevölkerung leisten kann (Gehalt, Lebenshaltungskosten). Je bezahlbarer die Stadt, desto höher die Punktzahl.

  • Bruttoinlandsprodukt pro Kopf (KKP-Kaufkraftparität). Quelle: CIA World Factbook.

  • Durchschnittliches jährliches Nettogehalt in EUR. Quelle: Umfragen zu Durchschnittsgehältern.

  • Lebenshaltungskosten: Kosten für Fast-Food, Abendessen auswärts, öffentliche Verkehrsmittel (monatlich), Miete (möblierte 85m²-Wohnung). Quelle: Expanistan (Umfrage).

Arbeitslosigkeit

  • Diese Punktzahl richtet sich nach der Arbeitslosenquote der jeweiligen Stadt. Je niedriger die Arbeitslosenrate, desto höher die Punktzahl.

  • Arbeitslosenquote der jeweiligen Stadt. Quellen: Offizielle Statistiken und OECD.

Umweltverschmutzung

  • Dieser Punkt gibt Aufschluss darüber, wie hoch Luftverschmutzung, Lichtverschmutzung und Lärm in der jeweiligen Stadt sind. Je weniger Verschmutzung bzw. Lärm, desto höher die Punktzahl.

  • Luftverschmutzung: Jahresdurchschnitt in ug/m³. Quelle: WHO.

  • Lichtverschmutzung: Durchschnittliche Lichtverschmutzung des jeweiligen Landes. Quelle: lightpollutionmap.info.

  • Lärm: Umfrage über die Wahrnehmung von Lärm in der Stadt. Quelle: Mimi Hearing Index 2017.

Verkehr

  • Dieses Kriterium bewertet die Verkehrsverhältnisse der einzelnen Städte und untersucht sowohl die Belastung von Straßen durch Stau, als auch alternative Transportmöglichkeiten. Je niedriger die Staubelastung und je höher die Zufriedenheit mit öffentlichen Verkehrsmitteln, desto höher die Punktzahl.

  • Belastung von Straßen durch Stau. Quellen: TomTom Traffic Index, NRIX Traffic Scorecard (angepasst auf den TomTom-Index).

  • Zufriedenheit mit öffentlichen Verkehrsmitteln. Quellen: Umfrage von Eurostat EU, Umfragen der einzelnen Länder und Umfragen aus wissenschaftlichen Zeitschriften.

Elternzeitgesetze und Gesundheitswesen

Elternzeitgesetze des Landes

  • Dieses Kriterium gibt Aufschluss über die Elternzeitgesetze des jeweiligen Landes. Je höher die Punktzahl, desto besser die Gesetze.

  • Bezahlter Mutterschaftsurlaub in Wochen, der im jeweiligen Land gewährt wird. Quellen: OECD, Regierungsseiten des Landes.

  • Bezahlte Elternzeit in Wochen, die im jeweiligen Land gewährt wird (für Mütter und Väter). Quellen: OECD, Regierungsseiten des Landes.

  • Anteil der Väter, die Elternzeit in Anspruch nehmen. (Dies soll deutlich machen, wie erfolgreich das Angebot von Elternzeit für Väter ist.) Quelle: Regierungsseiten des Landes.

Gesundheitswesen

  • Diese Punktzahl macht deutlich, wie gut das Gesundheitswesen des jeweiligen Landes ist. Je höher die Punktzahl, desto besser das Gesundheitswesen.

  • Anteil der Gesundheitsausgaben am Bruttoinlandsprodukt in Prozent. Quelle: Weltbank.

  • Anteil der Bevölkerung in Prozent, die eine private oder gesetzliche Krankenversicherung besitzen. Quellen: OECD, Örtliche Statistiken der Regierung.

Zufriedenheit

Zufriedenheit

  • Diese Punktzahl zeigt, wie zufrieden die Bevölkerung der jeweiligen Stadt ist. Je höher die Punktzahl, desto zufriedener die Bevölkerung.

  • UN-Happiness-Punktzahl. Quelle: World Happiness Report.

Reise und Aktivitäten

Kinderfreundliche Flughäfen

  • Diese Punktzahl bewertet die Kinderfreundlichkeit der örtlichen Flughäfen für Familien, die mit jungen Kindern reisen. Je höher die Punktzahl, desto kinderfreundlicher die Flughäfen.

  • Anzahl der Flughäfen der Stadt und die subjektive Bewertung ihrer Kinderfreundlichkeit. Quelle: Daten der Flughafenverwaltung.

Aktivitäten für Kinder

  • Diese Punktzahl zeigt, wie kinderfreundlich die jeweilige Stadt ist (z.B. während der Ferien oder an Wochenenden und Feiertagen). Je höher die Punktzahl, desto besser die Aktivitäten für Kinder.

  • Anzahl der Freizeitparks. Quellen: Yelp, Tripadvisor, Foursquare.

  • Anzahl der Museen. Quellen: Yelp, Tripadvisor, Foursquare.

  • Anzahl der Hotels. Quelle: Verschiedene örtliche Tourismusseiten.

  • Travel & Tourism Competitiveness Index 2017. Quelle: Weltwirtschaftsforum.

  • Wohlbefinden von Kindern. Quelle: Daten des Reports “Children in an Urban World” von Unicef über die Kindersterblichkeit unter fünf Jahren.

Grünflächen

  • Diese Punktzahl veranschaulicht wie viele Grünflächen die einzelnen Städte haben. Je höher die Punktzahl, desto mehr Grünflächen gibt es.

  • Quelle: Google Maps API-Service, der dazu genutzt wurde, den Anteil der Grünflächen innerhalb der Stadtgrenzen in Prozent zu ermitteln.

Meinung von Eltern und Experten

Eltern

  • Diese Punktzahl wurde aus einer repräsentativen Umfrage ermittelt. Je höher die Punktzahl, desto familienfreundlicher ist die Stadt aus Sicht der Eltern.

  • Quelle: Hunderte von Eltern wurden gefragt, welche Faktoren in ihren Augen zur Familienfreundlichkeit einer Stadt beitragen und als wie familienfreundlich sie die Stadt, in der sie leben, bewerten.

Experten

  • Diese Punktzahl wurde aus einer repräsentativen Umfrage ermittelt. Je höher die Punktzahl, desto familienfreundlicher ist die Stadt aus Sicht der Experten.

  • Quelle: Über 30.000 Erziehungsexperten und Journalisten aus dem Bereich Familie wurden gefragt, welche Faktoren in ihren Augen zur Familienfreundlichkeit einer Stadt beitragen und als wie familienfreundlich sie die Stadt, in der sie leben, bewerten.